Oi Oi gente tudo bem O meu nome é Ester Velasquez sejam bem-vindos é o canal até mais Teca no vídeo de hoje a gente vai continuar aqui no curso de álgebra linear e a gente vai falar sobre transformações lineares Tá bom então antes de começar já curti aí embaixo se inscreve no canal e Vamos lá gente então pra gente começar a falar sobre transformações lineares Vamos fazer uma analogia com algo que a gente já viu bastante lá atrás em cálculo que são as funções Então como que se comportava uma função lá em cálculo a gente
tinha um domínio que é onde ficavam os valores de x e a gente tinha um contradomínio que onde ficavam os valores de y e aí a gente pegava algum número aqui do X fazia uma operação com ele que era definida pela lei da função e aí disso sair o valor de y correspondente Então se a gente tivesse esses valores de x o nosso domínio EA lei de informação fosse x ao quadrado não conseguiria encontrar o y correspondente que a gente também chama dfdx né tá em função de X então entrou x saiu Y certo mas
o que acontece quando a gente trabalha com funções lá em cálculo a gente trabalha com valores reais então a gente trabalha com números né - 3 - 5 - 7,9 a gente tá sempre trabalhando com valores reais ele dxdy sendo que às vezes em algumas exceções a gente vai tirar alguns valores né que fazem a raiz e negativo então que fazem no denominador dizer ah mas o que importa é que estão sempre números sempre números reais ele então nunca aconteceu lá em cálculos de falar nossa Vamos criar um gráfico de uma função que é um
vetor então é um dois e o y vai ser quatro cinco nunca aconteceu isso e muito menos de falar vamos criar uma função onde o domínio é uma matriz 2 por 2 também nunca aconteceu certo mas aqui na álgebra e vai acontecer a gente vai construir funções onde os nossos elementos são vetores matrizes polinômios Então vamos ver como que vai ser isso então gente uma transformação linear aqui na álgebra linear ela vai se comportar exatamente como uma função só que a diferença é que o domínio e o contradomínio na transformação linear não vão se sempre
ai os reais para os reais então a gente não vai pegar só apenas os números reais a gente também pode pegar vetores matrizes Então a gente vai falar que o domínio e o contra o domínio vão ser espaços vetoriais então lembra-la de espaços vetoriais a gente tem uma caixinha com vários vetores dentro vários elementos aqui fazendo as operações deles quando a gente está trabalhando com transformações lineares os nossos elementos x vão ser elementos de um espaço vetorial e eles vão virar elementos de outra espaço vetorial ou então desse mesmo que então gente só para deixar
claro eu trabalhava com funções em cálculo a gente pegava valores de x aplicava na lei da função e encontrava o y e esses valores sem criar valores reais Eles não eram atrizes não era vetores mas aqui na transformação linear eles vão ser porque a gente vai sair de um espaço vetorial Então vai pegar o elemento ali pode ser um vetor para ser uma atriz um polinômio E aí a gente vai fazer alguma operação com esse vetor Matriz o polinômio E aí conseguir outro elemento que também nem sempre vai ser o número real pode ser também
que sejam vetor Matriz o polinômio de outro espaço vetorial então a transformação linear ela vai se comportar como a lei da função como aquele fdx que a gente tinha só que os elementos envolvidos nem sempre vão ser números reais Beleza então vamos ver se exemplo aqui de transformação linear a gente tem uma transformação ter normalmente a gente vai usar essa notação para uma transformação tá bom que é a transformação de um vetor x y e quem vai ser o a transformação então a gente pega aqui transforma que que vai acontecer bom O resultado vai ser
duas vezes a primeira coordenada que é o x e a segunda coordenada vai continuar igual então gente isso aqui é uma transformação que tá saindo do R2 porque o vetor do R2 aqui né tem dois elementos e a saída disso aqui o resultado dessa transformação também vai ser um vetor de R2 então a gente pode expressar Isso sim é ter que vai de R2 para R2 lembra que nas funções a gente podia expressar assim UEFI vai Dr para R então gente aquele pede para a gente encontrar a transformação quando o nosso vetor é um dois
então a gente tem aqui a transformação x e y e aí vai o vetor 12 e resolveu entrar nessa transformação o que que vai acontecer com ele ele dentro qual operação que ele vai passar E qual vai ser o vetor que vai sair a partir disso Oi gente sabe essa transformação é definida por duas vezes a primeira coordenada e a segunda continua igual Então se a gente fizer a transformação de 12 a nossa saída o resultado disso aqui vai ser duas vezes a primeira coordenada e a segunda coordenada continua igual Então vai ser o vetor
22 ou seja se a gente aplicar essa transformação linear no espaço R2 o vetor 12 vai se transformar em 22 agora vamos ver essa transformação aqui onde a gente tá saindo de um vetor de dois elementos então a gente tá saindo de R2 e a gente está indo para um vetor que tem três coordenadas né então a gente está indo para R3 então a gente pode falar que isso é uma transformação de R2 para R3 a gente tá saindo de duas dimensões para três dimensões então gente por mais estranho que pareça pode perfeitamente a acontecer
de a gente sair de duas dimensões para ir para 3D a gente sair de vetores e para matrizes então isso acontece nas transformações lineares Tá bom a gente pode pegar o vetor de dois elementos aqui e transformar em um vetor de três elementos Então vamos ver como que fica assim como no caso anterior a gente também que encontrar a transformação do vetor 12 então o que a gente sabe sobre a nossa transformação ela vai virar um vetor de três coordenadas sendo que a primeira coordenada é duas vezes essa primeira a segunda é a subtração das
duas e a terceira é a primeira Então a gente vai aplicar isso no vetor 12 o resultado dessa transformação vai ser duas vezes a primeira coordenada a subtração das duas coordenadas e a primeira coordenada aqui de novo que vale 1 portanto quando a gente aplica a transformação do vetor 12 Oi gente vai ter dois menos um e um então a gente tira um vetor do R2 aplicando uma transformação linear dele e ele foi para o R3 gente pensa literalmente uma transformação que você pegou uma varinha ali foi fez uma transformação no seu vetor para ele
para outra espaço vetorial em outro formato então agora vamos ver uma transformação linear Mas diferente tona a gente está saindo do espaço vetorial composto pelos polinômios de grau dois e a gente está indo para um espaço vetorial onde a gente tem matrizes dois por dois então aqui a gente quer encontrar qual vai ser o resultado dessa transformação que foi dada se a entrada disso for x ao quadrado menos 3X mais quatro Então se a gente pegar para transformar esse polinômio de segundo grau bom gente Primeiro vamos determinar os coeficientes desse polinômio o coeficiente a é
o que multiplica um x ao quadrado certo então a e o coeficiente B multiplica X então b = - 3 e o coeficiente se eu termino dependente então ser igual a quatro então aqui na primeira linha primeira coluna A gente tem a mais ser então um mais quatro na segunda coluna primeira linha é o bebê então menos três aqui sempre vai ser zero e essa coordenada é duas vezes então duas vezes quatro então o resultado disso aqui vai ser 5 - 308 a gente fez uma transformação no nosso polinômio e caímos em uma matriz 2
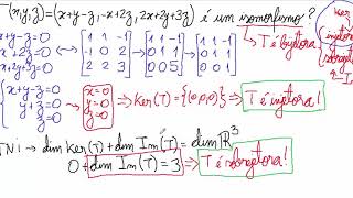
por 2 então a gente está saindo do espaço vetorial P2 e indo para o espaço vetorial m2 x 2 é como se esse fosse o nosso domínio e esse aqui o nosso contra o domínio certo então gente a gente viu que a transformação linear vai fazer alguma operação ali no elemento que a gente tem e em outro elemento só que será que qualquer alteração que eu fizer Ele sempre vai ser uma transformação linear né gente sempre que a gente for trabalhar com transformações lineares a gente vai ter requisitos ele para que a gente realmente possa
considerar com uma transformação linear Tá bom então ela tem que cumprir os requisitos de espaços vetoriais a gente sabe que espaços vetoriais tem requisitos e ela tem que ser linear necessariamente lá em funções nem sempre nossas funções eram lineares né mas aqui na álgebra linear a gente só vai trabalhar com transformações que cumprir determinados requisitos vão ver quais são eles então gente dados dois espaços vetoriais v&w que são nosso domínio e nosso contra o domínio da transformação uma função denominada te que sai de ver e vai para W vai ser uma transformação linear se ela
cumprir com esses dois requisitos O primeiro é que a transformação da os dois elementos tem que ser a soma das transformações então se eu tiver um vetor 12 e outro vetor que é 34 a transformação da soma desses vetores ou seja se primeiro ou somar para depois transformar tem que ser igual a transformação quando eu faço primeiro ou transformação e depois somo elas ou seja se a gente primeiro seu mar depois transformar tem que dar o mesmo resultado de primeiro transformar e depois somar se isso acontecer vai cumprir o primeiro requisito para ser transformação linear
o segundo requisito é que a transformação de uma constante vezes o elemento tem que ser igual a constante multiplicando a transformação do elemento então aqui nesse caso lambda 1 número pertencente aos reais né esse é o primeiro multiplicar para depois transformar tem que dar o mesmo resultado de transformar e depois multiplicar beleza se tiver por exemplo lambida = 2 e v = 12 se eu fizer a transformação de 24 tem que dar o mesmo resultado de duas vezes a transformação de um dois e isso tem que valer para todos os vetores pertencentes a esse espaço
e para qualquer lambida pertencente aos reais Beleza então quando a gente foi para vai isso você vai ver que a gente vai provar de uma forma mais genérica para mostrar que vale para todos os elementos e todos os lâmpadas então dado essa operação aqui que sai das matrizes 2 por 2 e vai para os vetores de R2 vamos verificar se isso aqui é uma transformação linear então o primeiro requisito a gente sabe que a transformação da soma de dois elementos tem que ser igual a soma das transformações então como eu falei quando a gente for
verificar se é transformação linear a gente vai fazer isso usando uma atriz e vetores ou Poli nomes genéricos Tá bom então aqui eu peguei duas matrizes genéricas pertenças Matriz um dois e aí a gente vai provar a partir delas se isso aqui é uma transformação linear ou não então vamos encontrar a transformação da soma dessas matrizes primeiro então aqui nesse caso a gente quer primeiro somar as matrizes para depois fazer a transformação Então a gente vai fazer a transformação vamos começar a soma das matrizes né agora que a gente somou as matrizes a gente pode
fazer a transformação seguindo isso aqui então a transformação dessa Matriz Vai resultar em um vetor de R2 que vai ser a mais de Então esse mas esse no caso a gente vai fazer x + h mas w + k e a segunda coordenada vai ser três vezes B mais cedo então três vezes esse mas esse então vai ficar três vezes Y mais ir mais esse aqui que é Z + J então nosso vetor e desce forma se primeiro a gente somar e depois transformar agora vamos fazer o contrário vamos primeiro transformar então fazer ADM um
fazer é de m2 e só depois somar as duas para ver se vai dar a mesma coisa então a transformação dm1 como que vai ficar bom como a gente sabe vai ser um vetor em R2 onde a primeira coordenada vai ser esse mas esse então no caso de M1 x + w e a segunda coordenada vai ser três vezes esse mas esse então 3 x y + z então a gente já encontrou a transformação correspondente ao M1 agora vamos pro m2 a primeira coordenada vai ser esse mas esse então h mais cá e a segunda
coordenada 3x esse mais esse então três e mais J agora que a gente já fez as transformações de cada uma das matrizes a gente pode somar os dois vetores que a gente encontrou né bom então somar os vetores em R2 na primeira coordenada a gente vai ter x-mass w + h mais cá então aqui só soma de vetores tá bom gente primeiro a coordenada com primeira coordenada EA segunda com a segunda a gente vai ter 3y + 3E + Z + j e era só Que belezinha gente a gente encontrou exatamente a mesma coisa quando
a gente fez a transformação das duas formas então quando a gente primeiro se somou às matrizes para depois transformar a gente encontrou isso aqui e quando a gente primeiro transformou para depois tomar a gente encontrou a mesma coisa Lembrando que aqui se a gente fizer o chuveirinho a gente encontra Exatamente isso né então gente utilizando matrizes genéricas a gente conseguiu provar que a soma das transformações é a transformação das somas Beleza então agora vamos provar o segundo requisito para que essa transformação ter realmente seja uma transformação linear bom então vamos continuar usando uma matriz genérica
M1 é a mesma que a gente usou para o caso anterior e aí a gente vai fazer a transformação de uma constante que eu vou chamar de Alpha vezes é 1001 então aqui a gente vai primeiro multiplicar pela constante e para depois fazer a transformação de acordo com que tá aqui então lembrando que quando a gente multiplica uma matriz por uma constante é só multiplicar cada um dos termos né agora que a gente já multiplicou a matriz pela constante vamos fazer a transformação Então a gente vai cair em um vetor de R2 onde a gente
vai ter a primeira coordenada esse mas esse então Alfa x + Alfa w e a segunda coordenada três vezes esse mais esse então três Alfa Y más ao fazer agora vamos fazer o contrário vamos primeiro encontrar transformação dm1 e depois multiplicar essa transformação por Alpha então a transformação dm1 como a gente viu vai ser X é mas w que é esse mas esse né e na segunda coordenada três vezes esse mais esse então três Y mais Z agora a gente vai lembrar como a gente multiplica um vetor por uma constante é só a gente multiplicar
constante por cada coordenada né então fazendo a multiplicação do Alfa pelo resultado da transformação a gente vai ter Alpha vezes a primeira coordenada que a x + w e Alpha vezes a segunda coordenada que é 3 y mais Z E aí gente se a gente fizer o chuveirinho aqui nas duas coordenadas a gente vai encontrar exatamente o que a gente encontrou aqui em cima então a transformação da Constante vezes o elemento é igualzinho a constante vezes a transformação do elemento portanto essa transformação te realmente é uma transformação linear ela cumpre com os nossos dois requisitos
gente então foi isso no vídeo de hoje nas próximas aulas a gente vai se o mesmo conceito de transformação linear Tá bom eu espero que vocês tenham gostado não esquece de curtir e se inscreve no canal compartilhe com seus amigos e segue o canal matemateca lá no Instagram vai ficar por dentro de tudo então a gente se vê no próximo vídeo gente beijos