Afinal, o que é o Rotacional?!

13.22k views3158 WordsCopy TextShare
Professor Julio Lombaldo
O Rotacional muitas vezes não compreendido na sua totalidade. No ensino superior preferimos decorar ...
Video Transcript:
E aí [Música] [Aplausos] Oi tudo bem já me fala o teu computacional a gente começa a andar na moto acionar alguma coisa que vai cortar Então fez não sou mesmo sou eu só falta vocacional direitinho porque escrevendo uma vez por todas porque existe aqui que ele funciona que fala e nada mais andamento que também é porque representa uma coisa o relacional tem sido desde o começo Nem começa a falar coisa de todas e começar a falar de repouso da definição de verduras dessa colocar aqui uma da gente a mudança dois aqui o TX2 pistão ele
começa a pensar encontrar nada sai dele definido o diretor de pagamento desses programas ar e o Dário motor ver mas basicamente a TV não é vaso à altura daquilo que a gente fez relação ao trabalho uma espécie de triângulo recebeu também representava uma medida que vai direção da origem até o encontro se tornando server ou é [Música] para falar dos também a injetores dentro de um pouquinho a módulo módulo dele ela mas ela aqui as coisas nada só quadrados são mapas e tirava da mais somente vai ter que nós Amazonas rechear quadrada massacradas um óculos
protetor mesmo formador fazer uma coisa aqui até o tanto poder começa a mudar isso a gente tem certeza de que porque saiu todo o gente começa a pouca por exemplo sei lá mas nunca tudo depois a gente coloca de dois fatores esses dois atores se apresentam no espaço ou estrelas assim por diante você tirou a vários atores eles podem ser diferentes e o quê que fala o cantor se diferente por quê falando é trouxe é diferente do outro justamente Esplanada sair dele e não só falar nada sem ter mas também o tamanho da base da
usura formado por aquela espécie Oi gente vai ter um casamento aqui pra cá na Ponto desse retorno para a gente vai ter uma função que não pode chamar de ética uma função que pode chamar de dinheiro e f g vão definir uma mais nada menos do que nem veneno altamente Shitzu com sobra gente desse jeito toda que não há mais ou menos do que tamanho desse diretor além do que né módulo direção e sentido daquilo Professor tem que ter que eu desejo a cada. Vai ser um jeito diferente e para cada pouco tendo esse XY
que a gente vai ter essa gente diferente isso não é feito né a quando ela deve aprender a maior corretora e sempre jeito o tempo passa As Aventuras de vídeos todos por LG sendo FG Independente de X não seja programadas horizontal ou vertical a gente vai ter todas as corretoras pergunta aquilo que chama de Campo vetorial seguir Campo cultural falar melhor do que um conjunto de vetores um certo espaço apresentado pode ser tudo é depois o plano não sei que próximo espaço feliz mas aquele Campo vetorial é definido como f adoro ou seja em campo
eleitoral que vai depender para a posição deste você achar um jeito somente mudando o retorno para cá da posição e isso é a cara malucão cultural toda vez que vocês viram apresentação de conclusão alto duplo esses verão é dores e vamos lá comportamento é tanto colocar todos os retornos vocês provavelmente receberam no espaço um x no espaço e comprava cada pulo esse espaço colocar uma representação contra a E aí E aí Oi pessoal estamos colocando fazer alguém comece certo alguns exemplos estão que eu tivesse bem tranquilo são bem simples e talvez até famosa por exemplo
eu vou colocar o primeiro deles aqui então decidiu do Sef eu fiz como uma função f x estão uma função Gente esse fundada por essa aqui vai ter um campo por exemplo o que dá ideia De que parte valores da origem força a todos um campo vetorial muito famoso ou seja para cada setor deste Campo nós temos coordenadas x e y que influenciam no tamanho direção da escritura mas me parece algo tão terrível que eu falei para vocês bom ele tem outros exemplos de contraproducente pegar o caminho natural Esse modelito aqui é um tem mais
simples de definir em um cão que devedores que vão formando né Essas espécies do Círculo mas stalkear e hoje e pela função que define Este cão natural FG maiôs colocado FG - placas foram tudo bem tu colocou no Face aqui tem forma todas as pessoas Esse é um campo um pouco mais interessante por exemplo que na coordenada x a gente deixa aqui nos eu vejo isso é muito engraçado e na coordenada é importante definir com seu Zeca se não for nada aqui mais velha então a sua vida das pessoas têm que ser horizontais e para
cada valor de X aumentando melhor jeito não é tanta pancada a gente um pouco mais lá então ele na base quase nada depois ele aumenta e nem todo nessa direção ele possa simplesmente entendido um povo por exemplo uma espécie de movimento da água tá pronto xvx estou usando é a bala eu fui gostando e a parte mais alta aposentar superfície muito interessantes no campo cultural extremamente interessante o leite pouquinho e começa a pensar nisso a gente volta fazer funções eu vou comprar no condições basicamente então gente tentar se entender aqui e por exemplo tem que
falar se tá em 3D só falou dois e três ver como seja ser um estimular a formação de ver todos o que achavam toda nada a gente tem as coordenadas x y z agora formando né é sedutora o abdome segundo preferir tá também um óleo de uma maneira usual assunto Mesma coisa nada que a gente tem que prontamente definição de um campo vetorial se a gente entender que cada vetor no espaço 3D é formado também nas suas posições comente verem público FG e agora já pode adicionar uma nova todas as pagar onde f g h
cuscuz dependem novamente das posições XY e agora dizer também a gente consegue colocar todos esses vetores em 3D like colocando Federal 300 com a mesma ideia então pessoal dois teórica grande diferença tem um acordada baixo e muito provavelmente flores não consta pelo a função a mais Nescau Ceará se você perdida coordenadas x y e z assim povo é a coordenada ou as funções é digito bem tô afim de ver um campo vetorial 3D a gente tem uma ideia de como é né já gente de dois dele começa a aprender a gente pode começar a pensar
no que venha ser o tal do passional agora no começo o final não pode voltar a situação hoje vamos voltar para ela beleza uma de volta por cima do evento alguma coisa que tem que não vou pegar ela uma definição de pronto coisa que a gente ladrão alfabeto tá a gente pega essa definição imagina o vetor anti-magia nessa corretora né mas definição ele vai ter opção é que a produção gente lá atendimento total ao escreverem a gente vai ter FG diferente configura um retorno diferente isso vai ter conforme O que é isso aqui é isso
a gente colocasse em gente colocar assim a gente vai estar conta que a gente tem uma vertical e outro horizontal a gente tem nada mais ou menos o que vetores soma desses dois autores nos daí né ah o tamanho exatamente do próprio as opções das ações usando o próximo E para finalizar dias mais interessante não só internet as tomadas escritores vai nos dá isso mas entender a movimentação uma colocação levam total do que pode ou não acontecer o com este dado 18 anos mas o que que vai definir a votação eo vetor sinal vetor assim
e veste mais larga caminhando e graças ao hospital sem mudar a direção você consegue mais naqueles faltando é é muito alguma coisa é difícil mas não aparece aqui não 24 moto então o que acontece o que aconteceu aqui é que existe tanto mexe com aquele gente é hoje aí é isso tem várias opções a variações quando eu começo a usar uma e começa a mudar outra eu vou obviamente mudar o meu vetor resultante que é um cantor igual estou interessado né então F GM D GM do na medida que elas variam em baixo coala pro
lado pro outro para cima e para baixo eu vou entender se ela vai no som e essa oração para me deixar ir ou não a gente está ou não rotacionando essa grande ideia vai terminar ver se defender perfeitamente bem a gente precisa me ajudar com esse vetor com pecadores pontinhos dentro desse duplo esses dois pontinhos não se super fã se eles começarem a botar é porque se ver o que a gente faz aqui é analisar a diferença das várias separações foram as mesmas não existe votação seus variações forem diferentes logo diferença vai assistir e Elas
serão várias ações como fazer com que citológico outras palavras do começando entendeu rotacionar o segundo através de avaliações variações em tudo sobre diversos uma frase de derivadas ele foi fazer a diferença das derivadas da questão que definida por f g e mãe está bom tem que ser muito legal a gente coloca a diferença Então pronto você já tem nada de um elevador alta a gente junta diferença é uma outra que isso nos respondem que eu ia lá o pano este vetor resultante maior funcionavam eu vou falar dois pontinhos Eu me dou conta que esses dois
últimos momentos juntos eles não alteram só que eles começaram a se mover tirando os dois pontos é o número da conta que existe de fato uma lotação naquele retorno final que eu pensei perfundir dentro da O que é só vai ação pode ser o como nós vamos subir para colocar: e aparece um pouco tal absurdo mas aqui por exemplo a gente vai dar vendo que existe uma rotação de valor portanto se uma personal diferentes era tudo bem agora imagina com marido hoje ela foi um vários pontos representando 500 palavras e vários vetores A cada: treino
todos os grandes assim então pode ser que existe uma votação mais de fixa ou seja se conhecesse nova trabalha uma variação fixa decisões ou pode ser que a Malhação sejam muito complexa e daí eu voltar pelo campo definido ou computacional daquele bem positivo essas palavras diferença existe né é bem grande e assim que começa a entender o rotacional eu vou contar um pouco para tentar entender de fato a gente não existe uma coisa que a gente precisa entender como vocês pensam produto vetorial vem na cabeça usando terá o retorno pelo retorno Ah tá a tomar
uma coisa tutorial ele é um produto cultural da música resulta em um outro Factor que eu tô perpendicular velho essa definição do leite maisena na área formada pelo paralelepípedo tava módulo módulo ver tudo é o tamanho do vetor é esse que é basicamente ficar aquecido eu tô que resultou de uma produtora quando esse seu torre de viver são Paralelos esse Doutor diminui a falta de ficar dela e esse fundacional era no né todas forma plena todos os produtos fazer algo ruim foi acontecer para que que ele serve bom sentido definição de um produto natural ou
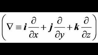
com essa dois dele a gente com a gente prima definição três dele a gente coloca os condenados Z = galera e valorizam e chega nela Beleza já falei de voz definição a gente está pronta que além de fazer a definição a gente tá vendo né sede substituível ao invés de um e ver no caso como eu colocar a derivadas no x y derivadas parciais de x e y dessa maneira aqui e com que mata todo produto vetorial eu vou ter este resultado que tive resultado exatamente o nosso composto concentrado diferença diferença aquela que mede o
quanto Campo o cantor pode voltar normalmente quem está pronta que a mesma coisa é por isso que o profissional a gente que gosta eles viram como um produto vetorial ou uma fruta Federal então quê que acontece aqui também que vem isso a gente está pronta festival nacional é muito mais fácil apresentado é por isso que eu não gosto não tem de admissão e tem uma Nacional de fato então o que que acontece foi aí é bom nem de imaginar se Essa Ideia relacional dois dele ela vai se estender vai aprender também aparentemente entra ele sabia
que ia fazer alguns outros Passos lá tudo bem bom pensar por exemplo naquele primeiro campo vectorial atendimento nutricional que eu coloquei se imaginar aqui Campo vetorial colocando É só colocar pelo menos que existam assim então conta aqui né para cada vez sozinho ver se eu vou conseguir medir o apaixonar localmente como se não simplesmente o resultado até de falar para vocês que um produto vetorial E aí a gente está pronta só com aquelas variações foi imaginar um de todo tá E vai ter o resultado como sera.com produto controla a decomposição da vida totalmente do antes
então tá em cada ponto diferente a gente vai ter exatamente em contração diferente você de volta só na alerj e localmente naquele lugar a volta profissional é desse jeito então é mais ou menos essa ideia mas uma coisa extremamente interessante sempre este vida profissional vai ser simplesmente perpendicular ao plano E aí que chega uma coisa uma mudança se de todos nós sempre perpendicular lama a gente pode fazer uma coisa que parece até mágica mas a ajuda a gente tem um plano diretor tem um plano José e que a gente não produzem fibras só sempre esse
lado para cada ponto desses 3 planos vai haver o nosso nacional e o que eu acabei de descobrir falando que para vocês aqui para cada ponto Djalma funcional perguntas e não apenas articulares reclama Então você tivesse três vocacionais na verdade foi uma marido três Campo Tem que ter os profissionais que eu tenho três componentes que aí se ela fosse bem formam o que é um produto que é só Exatamente esse o motor rotacionar objetivo tanto imagine e acidente descobre que para ter existe porque ele acontece e a dessa malha só muito legal é muito massa
de entender por exemplo os dois Campos para fechar tá vou dar os campos que eu ia fazer por exemplo se eu pegava em Campo aqui pode ser aquele câmbio do Toyota que eu coloquei assim vindo dessa maneira que tá com você outra o representaria um momento voce anos você tem na base né gente o trabalho funciona eu prefiro a base todos os mar e aqui ao serviço do cliente em mais ou menos essa ideia crente o crente aqui eu vou deixar a carinha aqui podemos controlar tudo bem E tá do movimento chama nessa barra vai
andar e quando eu olho para isso Eu me dou conta que alguns historiadores pontos um pouco mais existe um pouco mais abaixo da sala toda varanda ela começa tirar porque isso bloqueia o movimento fala que ela gente e nesse caso é muito intuitivo inclusive até que eu vou Nacional existe diferentes ela passar tirando e é preciso movimento vai fazer com que ela agir Então ela quando a gente procuro voltar aqui a gente tá bom quem te fala eu vou nacional para a seleção que joga escolher é diferente Zé deixa me falou beleza agora se a
gente fizesse como tocando em campo inclusive vai fazer o que você se perca Se você usar a sua intuição eu voltar para aquele Campo que eu acho que uns dois aqui você jogar uma batalha aqui eu vou mijar pelo movimentos quando começa a enviar pelo movimento Eu me dou conta que sábado assim umas embora mas ela não começa a girar entre o eixo dela Então na verdade que ele tomou o cuidado porque aquelas imóvel mas não jeito então a pontuação que eu tenho que tomar cuidado porque esse campo me fazem praticamente pensar aqui pelo movimento
dos vetores ele teria uma votação só que não então eu tô vendo essa lá tirar dessa vela não irá mais andado essa Mariana fazendo com que meu outro canal só colar juntinho Zé tudo bem isso é ruim mal tá muito louco entender então o que acontece aqui gente acaba ajudando exemplos do como é um a gente pode entender o rotacional EA parte mais legal a frente também pode fazer isso no caso Presidente a gente pode imagina uma cama na medida que os outros fariam em 3D isso é calculado juntamente com aquele produto Então até lá
ele tem todo que me dá simplesmente quando eu coloco sua parte traseira elevadas parciais Então na verdade rotação é por isso que ele é um produto cultural muitas vezes você escutou nacional e foi entre aspas é o espírito ou jogada da expedição tá na verdade a gente conhece e por isso que funcionam porque na verdade pois o pessoas representam muito melhor as variações de cada direção que a pessoa o profissional existe a principal matéria linda a cálculo culturais mais e visualmente de um gente começa enxergar as coisas com mais melhor beleza até princesa que ela
foi mais fácil né até a próxima é só não podia deixar de terminar esse vídeo cega ver se algumas pessoas daqui vai primeiramente eu creio você traz pessoas específicas a primeira delas se chama a vó tá seco lado aqui Ana lombaldo dona do canal chamado urbano digital e pelo sobrenome vocês mais ou menos fazer uma ideia de onde ela vem é a minha irmã um designer que eu conheço é a segunda aqui do canal também no sentido de que ela fez o ovo ela decide as cores ela me dá para essas idéias e tudo que
eu faço aqui passa pelo crivo profissional e incrível dela beleza outra pessoa que eu queria agradecer muito a uma hora e Jardim que é meu irmão de coração o melhor filmmakers que eu conheço o cara que me dá dica de luz de vídeo inclusive Todas aquelas o que eu tô fazendo aqui é o único do Maurício também mesmo deixar a roupa dele aqui em um cara Fantástico uma terceira agradecimento a uma pessoa que as minhas coisas que eu queria fazer a província do lado do rack que é um aluno da urina que eu conheci e
que me ajuda demais dando dicas de como posso fazer o que eu posso fazer para esse canal crescer tão grande abraço também para o Luiz e obviamente a todos os apoiadores o canal que eu vou deixar ele só daqui porque vocês que me motivam a fazer esse tipo de contato Beleza então a próxima a [Música]
Related Videos
O que é o Campo Gradiente? | Cálculo Vetorial
19:01
O que é o Campo Gradiente? | Cálculo Vetorial
Matemateca - Ester Velasquez
8,463 views
VOCÊ QUE ESCOLHE | Rotacional - Ep.01
12:10
VOCÊ QUE ESCOLHE | Rotacional - Ep.01
Professor Julio Lombaldo
5,769 views
Divergente, entenda o conceito!
10:35
Divergente, entenda o conceito!
Professor Julio Lombaldo
14,796 views
Mas afinal, o que é a Derivada?!
15:00
Mas afinal, o que é a Derivada?!
Professor Julio Lombaldo
537,952 views
Maldita Fórmula de Bháskara
7:59
Maldita Fórmula de Bháskara
Professor Julio Lombaldo
12,579 views
DERIVADAS - A NOÇÃO INTUITIVA
12:39
DERIVADAS - A NOÇÃO INTUITIVA
Italo Monte
1,550 views
Visualizando e Calculando o Rotacional e o Divergente de um Campo Vetorial | Cálculo Vetorial
27:44
Visualizando e Calculando o Rotacional e o...
Matemateca - Ester Velasquez
11,026 views
Aula 5.24 - Divergência e rotacional do campo magnético
18:28
Aula 5.24 - Divergência e rotacional do ca...
EletromagnetismoUFF
11,669 views
ROTACIONAL E DIVERGENTE
33:21
ROTACIONAL E DIVERGENTE
Prof. MURAKAMI - MATEMÁTICA RAPIDOLA
45,418 views
Aula 13.6 - Cálculo do rotacional da força gravitacional
17:39
Aula 13.6 - Cálculo do rotacional da força...
Mecânica Clássica UFF
6,236 views
Intuição sobre o Laplaciano
5:31
Intuição sobre o Laplaciano
Khan Academy Brasil
1,514 views
Aula 4.3 - Rotacional de um campo vetorial
18:00
Aula 4.3 - Rotacional de um campo vetorial
EletromagnetismoUFF
25,816 views
Como a Trigonometria deveria ser apresentada!
11:32
Como a Trigonometria deveria ser apresentada!
Professor Julio Lombaldo
181,759 views
Por que esse é o valor de Pi?!
8:45
Por que esse é o valor de Pi?!
Professor Julio Lombaldo
28,300 views
Aula 1.8 - Divergência e rotacional do campo eletrostático
13:36
Aula 1.8 - Divergência e rotacional do cam...
EletromagnetismoUFF
26,558 views
Gradiente, Divergente e Rotacional
42:16
Gradiente, Divergente e Rotacional
Ciências Térmicas
13,993 views
Do Zero aos Complexos, como enxergar?!
13:57
Do Zero aos Complexos, como enxergar?!
Professor Julio Lombaldo
27,903 views
Aula 3.4 - Teoremas da análise vetorial: gradiente, divergência e rotacional
17:32
Aula 3.4 - Teoremas da análise vetorial: g...
EletromagnetismoUFF
39,877 views
O que é Operador Nabla, gradiente, divergente e rotacional? (Conceitos)- Andrey Rodrigues
8:40
O que é Operador Nabla, gradiente, diverge...
Tec Review
12,865 views
COMO CALCULAR O ROTACIONAL DE UM CAMPO VETORIAL EP 1
8:09
COMO CALCULAR O ROTACIONAL DE UM CAMPO VET...
Prof. MURAKAMI - MATEMÁTICA RAPIDOLA
34,909 views
Copyright © 2025. Made with ♥ in London by YTScribe.com