Transformação de Lorentz - Aplicações e Exemplos

14.94k views1407 WordsCopy TextShare
FisicaModernaUFF
Video Transcript:
[Música] vamos ver agora se a transformação de Lawrence é consistente com a contração de comprimentos para isso Suponha que eu esteja no referencial S linha e nesse referencial S linha eu tenho uma régua com o comprimento L linha que está parada no referencial S linha se ela está parada no referencial S linha do ponto de vista de medida de comprimentos S linha é o referencial próprio certo então a régua está em ess linha e o comprimento da régua o comprimento próprio da régua vou chamar de l0 o índice zero indica que é o comprimento próprio
vai ser a diferença entre a posição da extremidade direita da régua e a posição da sua extremidade esquerda vai ser xinha Dire men X linha da esquerda agora nós vamos fazer o seguinte nós vamos no referencial S vamos medir as posições XD e x posição da extremidade direita extremidade esquerda no mesmo instante porque só assim que conseguimos medir o comprimento num referencial com relação a qual o objeto está em movimento então em S nós vamos fazer a medida de XD e de xe mas no mesmo instante então eu vou escrever dessa maneira eu vou fazer
a medida do da posição da extremidade direita num certo instante T à direita vou medir a posição da esquerda num certo instante posição da da extremidade esquerda x à esquerda num certo instante T à esquerda que tem que ser igual a t à direita porque eu tenho que medir as duas posições no referencial S vamos ligar Vamos conectar a diferença entre essas duas posições do referencial s com a diferença entre as duas posições no referencial S linha para isso vamos usar a transformação de lorence vamos obter quem é x linha à direita Isso vai ser
Gama x à direita VT à dire x linha à esquerda é Gama x à esquerda - v t à esquerda eu vou tomar a diferença entre esses dois esses dois valores a diferença entre esses dois valores do lado esquerdo do sinal de igual é o que eu chamei de comprimento próprio porque é o comprimento da régua medida no referencial com relação ao qual ela está parada que é o referencial esse linha então quando eu fizer essa diferença do lado esquerdo eu vou obter o comprimento próprio l0 que é o comprimento medido no referencial linha agora
vamos fazer a operação do lado do lado direito ocorre aqui do lado direito para que eu este para que eu esteja de fato medindo o comprimento no referencial s foi necessário medir as duas posições no mesmo instante Quando eu fizer a diferença entre esses dois termos eles vão se anular porque - Gama VTD é igual a - Gama vte Então se anulam esses dois a diferença entre os dois se anula sobra apenas a diferença entre os dois primeiros termos que vai se escrever Gama x à direita - x à esquerda isto aqui é o comprimento
medido no referencial s e portanto provamos que o comprimento medido no referencial s é igual ao comprimento medido no referencial S linha dividido por Gama lembrando ainda que esse comprimento é o comprimento próprio aqui está como o gama é maior ou igual 1 o comprimento medido em S Será menor ou igual ao comprimento medido em S linha está aí então a contração de comprimentos não deve surpreender ninguém Porque de fato a transformação de Lawrence foi obtida por um raciocínio que envolveu explicitamente a contração de comprimentos Portanto o que eu o que eu estou fazendo aqui
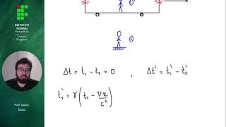
não é de fato demonstrando a a contração de comprimentos mas mostrando que a transformação de Lawrence é consistente Não é com a cont de comprimentos que foi o elemento utilizado para gerá-la vamos aplicar a transformação de Loren num exemplo nós temos um Vagão de Trem esse Vagão de Trem tem dois explosivos nas suas extremidades essa altura você já provavelmente já sabe já sabe montar o script completo porque é o mesmo script que já usamos várias vezes né aqui eu tenho o ponto médio desse Vagão de Trem no referencial que está se movendo com o vagão
de trem aqui está a velocidade do Vagão de Trem medida com relação a um observador parado com relação à estação aqui está O Observador parado eu me atrevo a desenhá-lo ele representa a origem do referencial S num determinado instante as duas origens coincidem a origem de S linha que eu localizei no meio do Vagão e a origem de S que eu localizei na posição desse observador Esse é um instante que eu vou chamar de t = 0 respeitando a ideia da configuração estar Tá certo daqui a um daqui a 1 microssegundo Então deixa eu passar
o intervalo de tempo de 1 microssegundo medido no referencial S 1 microssegundo depois da coincidência entre as duas origens O Observador na origem de S recebe dois pulsos Luminosos um vindo de cada um dos seus lados um vindo da direita Outro vindo da esquerda esses pulsos são o resultado das explosões que aconteceram nas extremidades desse vagão certo lembre que a gente usa a ideia de explosão não não por ser cataclísmico mas pelo fato de que a explosão deixa marcas no referencial s e no referencial S linha de modo que depois desse observador receber esses dois
feches ao mesmo tempo usando o seu relógio ele pode andar até Onde aconteceu a explosão da direita e andar até onde aconteceu a explosão da esquerda e medir a distância entre essas marcas e a sua posição e vamos supor que ele encontre que a distância entre a marca da direita e a sua posição eu vou chamar de X direita de certa maneira eu já estou aqui invocando a ideia de que um dos eventos que eu vou considerar é o evento explosão à direita x direita ele descobre que é 300 m a marca deixada pela explosão
à sua direita está na posição x = 300 m e a marca deixada na pela explosão à sua esquerda está na posição menos 300 m vamos fazer uma primeira pergunta vamos caracterizar esses dois eventos explosão à direita e explosão à esquerda através das suas coordenadas espaço temporais medidas no referencial S Então quais são as coordenadas e de e e d em S vamos começar pelo pela esquerda Qual é a coordenada espacial do evento explosão à esquerda no referencial s qual é a coordenada espacial quem é x de e - 300 m em que instante O
Observador que está em S determina que aconteceu essa explosão lembre o elemento que você tem é ele recebeu esse pulso Quando ele estava na origem 1 microssegundo depois da coincidência entre as duas origens em que instante ocorreu essa explosão portanto nesse referencial e nós sabemos que a velocidade da luz é 300 m por microssegundo portanto para percorrer esses 300 m a luz levou 1 microssegundo Como ela foi recebida no instante em que o relógio marcava um ela foi emitida no instante em que o relógio marcava zero outra vez veja apesar do Observador só enxergar o
feixe de luz no instante T = 1 ele sabe por medidas apropriadas que esse feixe foi emitido no instante t = 0 outra vez a história de Alfa Centauro e a luz que chega até nós né Não confunda o instante em que o evento ocorreu com o instante em que você percebeu que o evento ocorreu né então a coordenada temporal é zero e com relação ao evento explosão à direita outra vez x à direita já está escrito no quro 300 m e em que instante isso ocorreu no referencial S Outra Vez pelo mesmo raciocínio no
instante t = 0 os dois eventos foram simultâneos em S porque ocorreram a mesma distância do Observador e ele recebeu os feixes Luminosos emitidos pelos eventos simultâneamente então a recepção simultânea neste caso equivale à emissão simultânea porque as distâncias são iguais se essa distância aqui fosse diferente fosse 600 met por exemplo se ele tivesse medido resultado 600 m então se ele receber os dois feches simultaneamente quer dizer que ele vai descobrir que os dois feches não foram emitidos ao mesmo tempo o feixe do lado direito teria sido emitido neste caso em men1 microssegundo né no
instante equivalente a men1 [Música] micross n
Copyright © 2025. Made with ♥ in London by YTScribe.com